امتحان نهائي فصل اول احياء 2-2006-حسام عياش
امتحان نهائي فصل اول احياء 2-2006-حسام عياش
عدد الاسئلة : 41 أسئلة
امتحان نهائي فصل اول احياء 2-2006-حسام عياش
00 : 00 دقيقة
1) اي الخلايا الاتية تدخل عادة طور النمو الصفري G0 :
أ- المبطنة للامعاء ب- العصبية ج- الجلد د- المبطنة للفم
2) ما الية عمل الاشارات التي تسبب الموت المبرمج للخلية :
أ- تحفيز انتقال الخلية الى مرحلة الطور الصفري G0 ب- تثبيط انتاج انزيمات محللة للخلية وبروتيناتها
ج- تنشيط جينات تسهم في انتاج انزيمات تحطم مكونات الخلية د- تنشيط تكوين بروتينات تتراكم في الخلية مسببة موتها
3) جميع الاتية للانقسام المتساوي دور مباشر في حدوثها ما عدا :
أ- تعويض خلايا جلد تعرض للحرق ب- تجدد ذيل سحلية فقدت ذيلها
ج- تطور جنين من بويضة مخصبة د- انتاج الجاميتات الانثوية في الانسان
4) ما عدد خلايا الكبد الناتجة من حدوث اربعة انقسامات متساوية متتالية بدأت بخلية كبد واحدة :
أ- 4 ب- 8 ج- 16 د- 32
5) ما طور الانقسام المنصف الذي ينفصل فيه كل كروماتيدين شقيقين عن بعضهما :
أ- الاستوائي الاول ب- الانفصالي الاول ج- الانفصالي الثاني د- الاستوائي الثاني
6) ما طور الاتقسام الذي يمثله الشكل المجاور :

أ- التمهيدي الثاني ب- الاستوائي الاول ج- التمهيدي الاول د- الاستوائي الثاني
7) اي الاتية له دور في تحرك الكروموسومين الناتجين من التضاعف خلال عملية الانشطار الثنائي لخلية بكتيريا :
أ- الخيوط المغزلية ب- بروتين يشبه الاكتين ج- الميوسين د- خيوط الفايبرين
8) الى ماذا يشير الرمز (س) في الشكل الذي يبين مخططاً كروموسومياً للانسان :

أ- كروموسومين متماثلين ب- كروماتيدين شقيقين
ج- كروماتيدين غير شقيقين د- كروموسومين غير متماثلين
9) اي الاتية له دور في تحرك الكروماتيدات الناتجة من التضاعف خلال عملية الانقسام المتساوي لخلية جلد :
أ- الخيوط المغزلية ب- بروتين يشبه الاكتين ج- الميوسين د- خيوط الفايبرين
10) ما الطور الذي تحدث فيه عملية العبور :
أ- التمهيدي الاول ب- التمهيدي الثاني ج- الاستوائي الاول د- الاستوائي الثاني
11) اذا تم تنمية خلية من قمة نامية لجذر البصل مدة 5 ايام فأن عدد الخلايا الناتجة من هذه الخلية :
أ- 64 ب- 32 ج- 128 د- 16
12) : ما اسم الحموض الامينية 1/ 2 / 3 بالترتيب :

أ – غلايسين / سيرين / سستين ب – سيرين / غلايسين / سستين
ج – غلايسين / سستين / سيرين د – سستين / غلايسين / سيرين
13): عدد جزيئات الغلوكوز الناتجة من تحلل 10 جزيئات مالتوز و 4 جزيئات سكروز و 6 جزيئات لاكتوز :
أ – 15 ب – 20 ج – 30 د – 18
14): حلزون الفا يحتوي على 10 حموض امينية فأن عدد الروابط الهيدروجينية بين الحموض الامينية المكونة لهذه السلسلة :
أ – 6 ب – 8 ج – 9 د – 5
15) : ادرس الشكل المجاور والذي يمثل احد مستويات تركيب بروتين مثل _____ ويدل الرمز س على :

أ – ميوغلوبين / H2N+ ب– ميوغلوبين / H3N+ ج– هيموغلوبين / H2N+ د– هيموغلوبين / H3N+
16) من الوظائف التي يقوم بها بروتين يحتوي 3 سلاسل عديد ببتيد احدى الاتية :
أ – منح الغضروف القوة والمرونة ب – نقل الغازات في الدم ج – نقل الاكسجين في العضلات د - تجلط الدم
17) من الامثلة على بروتينات تكون جميع حموضها الامينية سلاسلها الجانبية الغير قطبية باتجاه الخارج دائماً :
أ – الهيموغلوبين ب – معظم الانزيمات ج – الفايبرين د – الميوسين
18) اذا علمت ان كل سلسلة عديد ببتيد في بروتين الهيموغلوبين تحمل جزيء اكسجين في الدم فكم عدد جزيئات الاكسجين التي تحملها 5 جزيئات من الهيموغلوبين :
أ – 10 ب – 5 ج – 20 د – 4
19) عدد الروابط الاسترية اللازمة لربط 5 جزيئات غليسرول مع حموض دهنية لتكوين دهون ثلاثية :
أ – 10 ب – 20 ج – 5 د – 15
20) يمثل الشكل المجاور تركيب معين ما دلالة الرمز س ومكان وجود هذا التركيب:

أ – رأس قطبي محب للماء / السمن الحيواني ب – رأس قطبي محب للماء / الغشاء البلازمي
ج – رأس غير قطبي كاره للماء / السمن الحيواني د – رأس غير قطبي كاره للماء / الغشاء البلازمي
21) ادرس الشكل المجاور والذي يمثل تركيب يقوم بوظيفة من الاتية ودلالة الرمز X بالترتيب :

أ – تنظيم عمل الوحدة الانبوبية الكلوية / مجموعة كيميائية ب – هضم بروتين الكازيين في الحليب / مجموعة كيميائية
ج – تحليل مركب فوق اكسيد الهيدروجين / مجموعة كيميائية د – ربط جزيئا غلوكوز معاً / مجموعة كيميائية
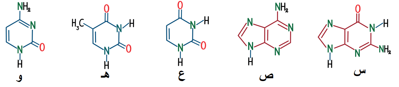
22) الشكل المجاور يمثل تصنيف القواعد النيتروجينية اي منها يوجد في سلسلة ترتبط بالوحدة البنائية الصغرى للرايبوسوم ولا يتم بناءها في طور S اثناء دورة الخلية :

أ – ع ب – هـ ج – و د – س
23) اذا كانت نسبة القاعدة النيتروجينية سايتوسين تساوي 32% وعدد القواعد النيتروجينية من نوع ثايمين تساوي 360 فأن عدد القواعد النيتروجينية من نوع الغوانين تساوي
أ – 620 ب – 640 ج – 360 د –180
(24: 3 قطع من DNA القطعة الاولى تحتوي 6% (ادنين) والقطعة الثانية تحتوي 30% (غوانين) والقطعة الثالثة تحتوي على 46% (سايتوسين) فأن نسبة الثايمين في القطع الثلاث تنازلياً :
أ – 1/2/3 ب – 2/1/3 ج – 3/2/1 د – 2/3/1
25) يعمل انزيم تصنيع الغلايكوجين على :
أ – ربط الوحدات البنائية الغلوكوز لانتاج غلايكوجين ب – ربط الوحدات البنائية الغلاكتوز لانتاج غلايكوجين
ج – تفكك الغلايكوجين الى جزيئات غلوكوز د – تفكك الغلايكوجين الى جزيئات غلاكتوز
26) اذا قام انزيم معين بتحطيم 5 جزيئات مالتوز فأي المعادلات الاتية تدل على التفاعل :
أ – مالتيز + 5 مالتوز + 5 ماء لانتاج 10 غلوكوز ب – مالتيز + 5 مالتوز لانتاج 10 غلوكوز + 5 ماء
ج – مالتيز + 5 مالتوز + 10 ماء لانتاج 10 غلوكوز د – مالتيز + 10 مالتوز لانتاج 10 غلوكوز + 10 ماء
27) ماذا تمثل الأجزاء س ، ص ، ع وما هو موقع حدوث التفاعل بالترتيب :

أ – مادة متفاعلة ، موقع نشط ، انزيم / ص ب – مادة متفاعلة ، موقع نشط ، انزيم / س
ج – موقع نشط ، مادة ناتجة ، انزيم / ص د – انزيم ، موقع نشط ، مادة ناتجة / س
28) ادرس الشكل المجاور الذي يمثل فرضية تفسير ارتباط الموقع النشط بالمادة المتفاعلة اي الاتية خطأ فيما يخص هذه الفرضية :

أ – يحدث التلاؤم مؤقتاً عند ارتباط الموقع النشط بالمادة المتفاعلة ب – فرضية التلاؤم المستحث
ج – ارتباط الانزيم بأكثر من نوع من المواد المتفاعلة د – ارتباط الانزيم بنوع واحد فقط من المواد المتفاعلة
29) ادرس الشكل المجاور الذي يمثل علاقة الطاقة بسير التفاعل بحيث يدل الرمز ص :

أ – طاقة التنشيط بوجود انزيم ب – طاقة التفاعل بعدم وجود انزيم
ج – طاقة التنشيط بعدم وجود انزيم د – طاقة التفاعل بوجود انزيم
30) معادلة اختزال NAD+ الى NADH هي :
أ – NAD+ + 2H+ + 2e- NADH2
ب – NAD+ + 2H+ + e- NADH + H+
ج – NAD + 2H+ + 2e- NADH + H+
د – NAD+ + 2H+ + 2e- NADH + H+
31) اذا علمت ان تحطيم جزيء ATP الى ADP ينتج عنه طاقة مقدارها 7.3 كيلو سعر / مول ومن تحطيم جزيء ADP الى AMP ينتج عنه طاقة مقدارها 5.4 كيلو سعر / مول فأن مجموع الطاقة الناتجة من تحطيم رابطتين بين مجموعة الفوسفات الثالثة والثانية وتحطيم رابطة واحدة بين مجموعة الفوسفات الثانية والاولى تساوي :
أ – 30 كيلو سعر / مول ب – 40 كيلو سعر / مول ج – 20 كيلو سعر / مول د – 15 كيلو سعر / مول
32) يدخل الشكل المجاور في تركيب جميع الاتية عدا :

أ – ATP ب – AMP ج – DNA د – FADH2
(33 يستخدم NAD+ في جميع الاتية عدا واحدة :
أ – ناقل الكترونات في التنفس الخلوي الهوائي ب – ناقل الكترونات في البناء الضوئي
ج – ناقل الكترونات في التخمر اللبني د – ناقل الكترونات في التخمر الكحولي
34) اذا حدثت حلقة كربس 6 دورات فهذا يدل على دخول جزيئات البيروفيت الى الميتوكندريا بعدد :
أ – 6 جزيئات ب – 4 جزيئات ج – 12 جزيء د – 3 جزيئات
35) اذا تم استقبال 24 الكترون اثناء سلسلة نقل الالكترون من قبل الاكسجين فينتج عدد جزيئات ماء تساوي :
أ – H2O 24 ب – H2O 48 ج – 12 H2O د – 6 H2O
36) اذا حدثت حلقة كربس 4 دورات فأن عدد جزيئات الغلوكوز المتحللة وعدد جزيئات CO2 وجزيئات NADH و FADH2 الناتجة وجزيئات ATP الناتجة مباشرة من حلقة كربس بالترتيب :
أ – 4 غلوكوز ، 4 CO2 ، 8 NADH ، 4 FADH2 ، 4 ATP
ب – 2 غلوكوز ، 8 CO2 ، 12 NADH ، 4 FADH2 ، 4 ATP
ج – 6 غلوكوز ، 12 CO2 ، 18 NADH ، 6 FADH2 ، 6 ATP
د – 2 غلوكوز ، 12 CO2 ، 18 NADH ، 6 FADH2 ، 6 ATP
37) تعمل الاسموزية الكيميائية على نقل البروتونات من و الى بواسطة انزيم :
أ – من الحشوة الى الحيزين الغشائي بواسطة انزيم بلمرة DNA
ب – من الحيز بين الغشائي الى الحشوة بواسطة انزيم بلمرة DNA
ج – من الحيز بين الغشائي الى الحشوة بواسطة انزيم انتاج ATP
د – من الحشوة الى الحيز بين غشائي بواسطة انزيم انتاج ATP
38) اذا دخل 10 جزيئات غلوكوز مراحل التنفس الخلوي كاملة فأن عدد جزيئات ATP الناتجة بشكل مباشر من مراحل التنفس الهوائي تساوي :
أ) 40 ب) 20 ج) 10 د) 80
39) اذا تم انتاج 8 جزيئات 2CO اثناء التخمر الكحولي فأن عدد جزيئات الغلوكوز المتخمرة وعدد جزيئات كحول الايثانول الناتجة بالترتيب :
أ – 8 / 8 ب – 2 / 4 ج – 8 / 4 د – 4 / 4
40) اي من الاتية تستخدم فيها سلسلة نقل الالكترون ولا يكون الاكسجين مستقبل نهائي للالكترونات :
أ – الخميرة ب – العضلات الهيكلية ج – الفطريات د – بكتيريا اختزال الكبريتات
41) اذا تم انتاج جزيئات ATP من الفسفرة التأكسدية بعدد 68 جزيء فأن عدد جزيئات ATP الناتجة بشكل مباشر من التحلل الغلايكولي تساوي :
أ – 4 ب- 8 ج – 2 د – 6