المبلمرات: جزيئات ضخمة ذات كتلة جزيئية كبيرة جداً تتكون من اتحاد عدد كبير من جزيئات صغيرة تسمى المونومرات.
المونومرات: وحدة البناء الأساسية المكونة للمبلمر.
وتختلف خصائص المونومر عن خصائص المبلمر.
يسمى التفاعل الكيميائي الذي يربط المونورمات معاً لتكوين المبلمر بتفاعل البلمرة.
عملية البلمرة: تفاعل كيميائي تتحد فيه وحدات البناء الأساسية المكونة للمبلمر ضمن ظروف مناسبة من: الضغط، ودرجة الحرارة، ووجود عوامل مساعدة.

- أنواع المبلمرات

المبلمرات الصناعية: جزيئات ضخمة تتكون صناعياً من اتحاد عدد كبير من وحدا ت بناء أساسية، مثل البلاستيك والألياف الصناعية.
المبلمرات الطبيعية: جزيئات ضخمة تتكون في أجسام الك ائنات الحية، نباتية أو حيوانية، وتتكون من وحدات بناء أساسية تختلف باختلاف المبلمر، مثل: البروتين، والنشا، والسليلوز، والحرير، والصوف.
المبلمرات الصناعية:
المبلمرات الصناعية: جزيئات ضخمة تتكون صناعياً من اتحاد عدد كبير من وحدات بناء أساسية، مثل البلاستيك والألياف الصناعية.
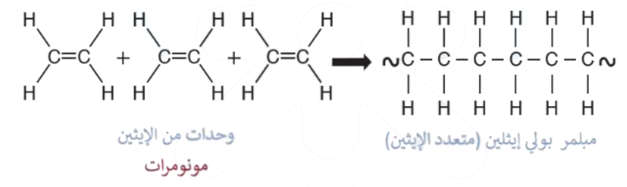
مبلمر متعدد الإيثين (بولي إيثيلين) Polyethene: ينتج مبلمر متعدد الإيثين )بولي إيثلين( من اتحاد عدد كبير من جزيئات الإيثين CH2=CH2.
يتكون مبلمر متعدد الإيثين عند تسخين غاز الإيثين تحت ضغوط كبيرة، وبوجود عامل مساعد؛ فترتبط جزيئات الإيثين نتيجة لكسر الرابطة الثنائية π مكونة سلسلة طويلة من مبلمر متعدد الإيثين الصلب (البلاستيك).
ويمكن تمثيل عملية البلمرة بالشكل الآتي:-

أو اختصار العملية بالمعادلة الآتية:

التحكم بالخصائص الفيزيائية لمبلمر متعدد الإيثين
التحكم بطول سلسلة المبلمر:
المبلمر الذي يتكون من 100 مونومر أقل صلابة وقساوة من المبلمر الذي يحتو ي 1000 مونومر.
التحكم في مدى تفرع سلسلة المبلمر وتشابكها:
يمتاز المبلمر المتكون من سلاسل غير متفرعة بالقوة والصلابة، ويسمى هذا النوع مبلمر متعدد الإيثين عالي الكثافة HDPE.
استخداماته:
صناعة خراطيم المياه والحاويات البلاستيكية والأدوات المنزلية.
تغليف الاسلاك الكهربائية لأنه مادة عازلة.
يكون المبلمر المتكون من سلاسل متفرعة أقل قوة وصلابة، ويسمى هذا النوع مبلمر متعدد الإيثين منخفض الكثافة LDPE
استخداماته:
صناعة الأكياس البلاستيكية.
ويكون المبلمر أكثر صلابة وقوة من مبلمر متعدد الإيثين عالي الكثافة إذا كانت سلاسله متشابكة ويسمى (PEX).
اسخداماته:
المجالات التي تحتاج منتجات بلاستيكية شديدة الصلابة.
مبلمر متعدد البروبين (بولي بروبلين) Polypropene
ينتج مبلمر متعدد البروبين (بولي بروبلين) من اتحاد عدد كبير من جزيئات البروبين CH2=CHCH3
يتكون مبلمر متعدد البروبين عند تسخين غاز البروبي ن تحت ضغوط كبيرة، وبوجود عامل مساعد؛ فترتبط جزيئات البروبين نتيجة لكسر الرابطة الثنائية ) π ( مكونة سلسلة طويلة من مبلمر متعدد البروبين الصلب.
ويمكن تمثيل عملية البلمرة بالمعادلة الآتية:

خصائص مبلمر متعدد البروبين:
يشبه مبلمر متعدد البروبين في خصائصه مبلمر متعدد الإيثين؛ ولكنه أكثر صلابة وسلاسله أطول.
استخداماته:
• صناعة الأكواب والأطباق والعبوات البلاستيكية.
• صناعة مصدات السيارات (مخففات التصادم) في مقدمة السيارات.
مبلمر متعدد رباعي فلورو إيثين (التفلون) Teflon:
ينتج مبلمر التفلون من اتحاد عدد كبير من جزيئات رباعي فلورو إيثين .
ويمكن تمثيل عملية البلمرة بالمعادلة الآتية:

مميزات التفلون:
• لا يحترق .
• لا يتآكل.
• لا يتفاعل مع المواد الكيميائية.
استخداماته:
• فرش ملاعب التزلج.
• صنع الأواني المنزلية التي لا يلصق بها الطعام.
• صنع الصمامات التي لا يلزمها التشحيم.
• عزل الأسلاك والكوابل.
بعض المبلمرات ومعلومات عنها:

المبلمرات الطبيعية Natural Polymers:
المبلمرات الطبيعية: جزيئات ضخمة تتكون من وحدات بناء أساسية تختلف باختلاف المبلمر، مثل البروتين، والنشا، والحرير، والصوف، وغيرها.
البروتينات Protiens:
البروتينات: بأنها مبلمرات طبيعية تتكون من اتحاد عدد كبير من وحدات بناء أساسيّة تسمّى الحموض الأمينية.
الحموض الأمينية: مركبات عضوية، تحتوي على مجموعة كربوكسيل (COOH -) ،ومجموعة أمين (NH2) ، وطرف هيدرو كربوني R يختلف باختلاف الحمض الأميني.
الصيغة العامة للحموض الأمينية:

ويحتوي البروتين على حموض أمينية عدة تشكل وحدات البناء المكونة له، وتترابط في ما بينها بروابط ببتيدية (أميدية).
كيف ترتبط الحموض الأمينية؟
تتفاعل مجموعة الكربوكسيل م ن حمض أميني ومجموعة الأمين من حمض أميني آخر بحذف جزيء ماء، وتنش أ الرابطة الببتيدية بين ذرة كربون مجموعة الكربونيل وذرة نيتروجين.

أهمية البروتينات:
1- تدخل في تركيب الخلاي ا الحية جميعها.
2- تؤدي وظائف حيوية متنوعة في الجسم؛ فبوصفه ا أنزيمات وهرمونات تحفز التفاعلات التي تحدث في الجسم وتنظمها.
3- لها دور في نقل الأكسجي ن بي ن الخلاي ا وغيره ا م ن الوظائف الحيوية.
النشا Starch :
النشا: مبلمر طبيعي يتكون من اتحاد عدد كبير من وحدات بناء أساسية هي سكر الجلوكوز ، وتترابط في م ا بينه ا بروابط إيثريّة C-O-C تسمّى روابط جلايكوسيدية. وجوده:
• يوجد النشا في الكثير من المواد الغذائية، مثل البطاطا، والأرز، والقمح، والذرة.
ويتكون النشا من جزأين، هما:
الأميلوز:
تترابط جزيئات السكر فيه بصورة سلاسل مستمرة. يشكل 10 - 20 % من كتلة النشا.
الأميلوبكتين :
يتكون م ن اتحاد سلاسل الأميلوز معً ا بروابط جلايكوسيدية مكوّن ا سلاسل متفرّعة.
يشكل ما يقارب 80 - 90 % من كتلة النشا.

السيليلوز Cellulose :
السليلوز: مبلمر طبيعي وحدة بنائه الأساسية سكر الجلوكوز، وتترابط جزيئات الجلوكوز فيه برواب ط جلايكوسيديّة على صورة سلاسل غير متفرّعة.

أهمية السليلوز:
• يدخل في تركيب جدران الخلايا النباتية.
• يستخدم في الكثير من الصناعات، مثل الورق، والحرير الصناعي، والألبسة القطنية.
Created by JoAcademy