حلول أسئلة كتاب الطالب وكتاب التمارين
أسئلة أتحقق من فهمي
أتحقق من فهمي صفحة 20
|
أجدُ كلاً ممّا يأتي : a) طولُ b) طولُ |
![]() |
الحل :
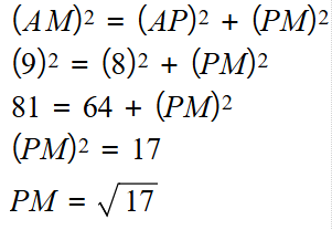
a) طول
b) طول
أجد قيمة
| نظرية المُنصف العمودي | |
| بالتعويضِ | |
| بحَلِّ المعادلةِ |
أجد طول
أتحقق من فهمي صفحة 22
أجدُ معادلةَ المُنصِّفِ العموديِّ للقطعةِ المستقيمةِ ، حيثُ : .
الحل :
الخطوةُ 1 : أجد ميل المُنصف العمودي
ميلُ المُنصِّفِ العموديِّ يساوي سالبَ مقلوبِ ميلِ القطعةِ المستقيمةِ نفسِها ؛ لذا أجدُ أوَّلًا ميلَ القطعةِ المستقيمةِ :
| صيغةُ الميلِ | |
| بتعويض | |
| بالتبسيطِ |
إذنْ ، ميلُ المُنصِّفِ العموديِّ هوَ سالبُ مقلوبِ ميلِ ، ويساوي
الخطوةُ 2 : أجدُ نقطةَ منتصفِ القطعةِ المستقيمةِ
بتعويض:
إذنْ، إحداثيّا النقطةِ الواقعةِ منتصفَ ، هما :
الخطوةُ 3 : أجدُ معادلةَ المُنصِّفِ العموديِّ.
| صيغةُ الميلِ ونقطةٍ | |
| بتعويضِ | |
| بالتبسيطِ، وإعادةِ ترتيبِ المعادلةِ |
أتحقق من فهمي صفحة 24
|
إذا كانت النقطة G هيَ مركزَ الدائرة الخارجية لـ ΔABC في الشكل المُجاور ، فأجدُ كُلًّ ممّا يأتي : 1) طولُ 2) طولُ 3) طولُ |
![]() |
الحل :
1) طول
| نظريةُ المُنصِّفاتِ العموديةِ للمُثلَّثِ | |
| بتعويض |
2) طول
| نظريةُ فيثاغورس | |
| بتعويضِ | |
| بإيجادِ القوى | |
| بطرحِ144 منْ طرفيِ المعادلةِ | |
| بأخذِ الجذرِ التربيعيِّ لطرفيِ المعادلةِ |
بما أنَّ الطولَ لا يُمكِنُ أنْ يكونَ سالبًا، فإنَّ
3) طول
أتحقق من فهمي صفحة 25
أستعمل المعلومات المعطاة في الشكل المُجاور لإيجاد QA

الحل:
| نظريةُ مُنصِّفِ الزاوية | |
| بحل المعادلة | |
| مُعطى | |
| بتعويض | |
| بالتبسيط |
أتحقق من فهمي صفحة 27
أستعملُ المعلوماتِ المعطاةَ في الشكلِ في المثالِ 5 لإيجادِ XL

الحل:
من تطابق المثلثين ، حيث :
فإنّ طول
أسئلة أتدرب وأحل المسائل
أجدُ كلَّ قياسٍ ممّا يأتي :

BD مُنصف عمودي للمستقيم AB، إذن:

بما أنَّ EF = ED، و G عموديٌّ على FD، فإنَّ G مُنصِّفٌ عموديٌّ لـ FD بحسبِ عكسِ نظريةِ المُنصِّفِ العموديِّ:
أجدُ كلَّ قياسٍ ممّا يأتي:

الحل :
3) بحسب نظريةُ المُنصِّفاتِ العموديةِ للمُثلَّثِ ، فإنّ :
4) المثلثين متطابقين (ضلع وقائمة ووتر)
نظرية فيثاغورس
5)
أجدُ معادلةَ المُنصِّفِ العموديِّ للقطعةِ المستقيمةِ المعطى نهايتاها في كلٍّ ممّا يأتي:
الحل :
الخطوةُ 1: أجد ميل المُنصف العمودي
ميلُ المُنصِّفِ العموديِّ يساوي سالبَ مقلوبِ ميلِ القطعةِ المستقيمةِ نفسِها؛ لذا أجدُ أوَّلًا ميلَ القطعةِ المستقيمةِ :
إذنْ ، ميلُ المُنصِّفِ العموديِّ هوَ سالبُ مقلوبِ ميلِ ويساوي
الخطوةُ 2 : أجدُ نقطةَ منتصفِ القطعةِ المستقيمةِ
إذنْ، إحداثيّا النقطةِ الواقعةِ منتصفَ ، هما
الخطوةُ 3 : أجدُ معادلةَ المُنصِّفِ العموديِّ.
بالتعويض في صيغة الميل والنقطة
الخطوةُ 1 : أجد ميل المُنصف العمودي
ميلُ المُنصِّفِ العموديِّ يساوي سالبَ مقلوبِ ميلِ القطعةِ المستقيمةِ نفسِها ؛ لذا أجدُ أوَّلًا ميلَ القطعةِ المستقيمةِ
إذنْ ، ميلُ المُنصِّفِ العموديِّ هوَ سالبُ مقلوبِ ميلِ ويساوي
الخطوةُ 2 : أجدُ نقطةَ منتصفِ القطعةِ المستقيمةِ
إذنْ، إحداثيّا النقطةِ الواقعةِ منتصفَ ، هما
الخطوةُ 3 : أجدُ معادلةَ المُنصِّفِ العموديِّ.
بالتعويض في صيغة الميل والنقطة
أجدُ كلَّ قياسٍ ممّا يأتي:

عكسُ نظريةِ مُنصِّفِ الزاويةِ :
إذا وقعَتْ نقطةٌ داخلَ زاويةٍ، وكانَتْ على بُعْدينِ متساويينِ منْ ضلعيْها، فإنَّها تقعُ على مُنصِّفِ الزاويةِ.

نظريةُ مُنصِّفِ الزاويةِ:
كلُّ نقطةٍ على مُنصِّفِ الزاويةِ تكونُ على بُعْدينِ متساويينِ منْ ضلعيْها.
إذا كانت النقطةُ هي مركز الدائرة الداخلية لـ ، فأجدُ كلَّ قياس ممّا يأتي:

الحل:
10) بحسب نظرية مُنصفات زوايا المثلث : تلتقي مُنصِّفاتُ زوايا المُثلَّثِ في نقطةٍ لها البُعْدُ نفسُهُ عنْ كلٍّ منْ أضلاعِ المُثلَّثِ.
إذن :
11) نظرية فيثاغورس في المثلث :

12) نظرية فيثاغورس في المثلث :

إذن:
|
13) إذا كانَتِ النقطةُ P هيَ مركزَ الدائرةِ الخارجيةِ لـ ، فأستعملُ المعلومةَ المعطاةَ تاليًا لإيجادِ
|
![]() |
الحل :
بحسب نظرية المُنصفات العمودية لأضلاع مثلث : تلتقي المُنصِّفاتُ العموديةُ لأضلاعِ مُثلَّثٍ في نقطةٍ لها البُعْدُ نفسُهُ عنْ كلٍّ منْ رؤوسِ المُثلَّثِ.
أي :
أجد قيمة x
أُثبِتُ كُلًّ منَ النظريتينِ الآتيتينِ:
14) نظريةُ المُنصِّفاتِ العموديةِ للمُثلَّثِ.
الحل :
نصّ النظرية : تلتقي المُنصِّفاتُ العموديةُ لأضلاعِ مُثلَّثٍ في نقطةٍ لها البُعْدُ نفسُهُ عنْ كلٍّ منْ رؤوسِ المُثلَّثِ.
|
الخطوةُ 1 : أرسم المثلث وأُحدِّدُ المعطياتِ والمطلوبَ. المعطياتُ : هي المُنصفات العمودية لـ والنقطة هي نقطة تلاقيها. المطلوبُ : إثباتُ أنَّ |
![]() |
الخطوةُ 2 : البرهان
أبحث في تطابق المثلثين ، فيهما :
| مُعطى | |
| مُشترك | |
| مُعطى |
إذن ينطبق المثلثان بضلعين وزاوية محصورة بينهما وينتج من التطابق
وبنفس الطريقة أثبت تطابق المثلثين وينتج من التطابق
إذن:
15) نظريةُ مُنصِّفاتِ زوايا المُثلَّثِ.
الحل:
نصّ النظرية: تلتقي مُنصِّفاتُ زوايا المُثلَّثِ في نقطةٍ لها البُعْدُ نفسُهُ عنْ كلٍّ منْ أضلاعِ المُثلَّثِ.
|
الخطوةُ 1 : أرسم المثلث وأُحدِّدُ المعطياتِ والمطلوبَ. المعطياتُ : هيَ مُنصِّفاتِ زوايا ، النقطةُ P هيَ نقطةَ تلاقيها، المطلوبُ : إثباتُ أنَّ |
![]() |
الخطوةُ 2 : البرهان
أبحث في تطابق المثلثين ، فيهما :
| مُعطى | |
| مُعطى | |
| مُشترك |
إذن ينطبق المثلثان بزاويتين وضلع مقابل لأحدهما وينتج من التطابق
وبنفس الطريقة أثبت تطابق المثلثين وينتج من التطابق
إذن :
16) اتصالاتٌ: ترغبُ شركةُ اتصالاتٍ في بناءِ بُرْجٍ للبثِّ على أبعادٍ متساويةٍ منْ ثلاثةِ مبانٍ كبيرةٍ. أُوضِّحُ كيفَ يُمكِنُ استعمالُ الشكلِ التالي لتحديدِ موقعِ
البُرْجِ.

الحل :
مواقع المباني الثلاثة تُمثل رؤوس مثلث ، ونحتاج لنقطة تبعد نفس البعد عن رؤوس المثلث ، لذا نقيم منصفات عمودية لأضلاع المثلث ونقطة تلاقي هذه المنصفات العمودية تكون مركز الدائرة الخارجية التي ستمر برؤوس المثلث ، أي مركز الدائرة هو موقع البرج للبثِّ على أبعادٍ متساويةٍ منْ هذه المباني الثلاثة .
17) أحُلُّ المسألةَ الواردةَ بدايةَ الدرسِ.
|
مسألةُ اليومِ : يظهرُ في الصورةِ المُجاوِرةِ جزءٌ منْ جسرِ كمالِ الشاعرِ في العاصمةِ عمّانَ. إذا كانَتْ حافةُ الجسرِ عموديةً على الدعامةِ وكانَ ، فما العلاقةُ بينَ و |
![]() |
الإجابة :
بما أنّ ، إذن مُنصف عمودي لـ ، وبحسب نظرية المنصف العمودي فإن كلُّ نقطةٍ على المُنصِّفِ العموديِّ لقطعةٍ مستقيمةٍ تكونُ على بُعْدينِ متساويينِ منْ طرفيِ القطعةِ المستقيمةِ.
أي:
18) يريدُ فنّانٌ أن يضع قطعةً دائرية من الزجاج المُلوَّن داخل إطار على شكل مثلّث أبعادُهُ مُبيَّنة في الشكل المُجاوِر ، وأنْ يجعلَ الزجاج يُلامِس كُلّ من جوانب الإطار. أجدُ طول قُطر قطعة الزجاج الدائرية لأقرب جزء من عشرة.

الحل :
باستخدام نظرية فيثاغورس في المثلث القائم


طول نصف قطر الدائرة الداخلية التي ستلامس جوانب الإطار يساوي
إذن طول القطر يساوي
مهاراتُ التفكيرِ العُليا
19) أكتشفُ الخطأَ: قالَتْ أحلامُ : ” قيمةُ x في الشكلِ الآتي هيَ 6 بحسبِ نظريةِ مُنصِّفِ الزاويةِ“. أكتشفُ الخطأَ في قولِ أحلامَ، ثمَّ أُصحِّحُهُ.

الإجابة :
خطأ أحلام أنها لم تلاحظ أن الزاوية ليست قائمة ، أي المستقيمليس عموديًا على الضلع ، فهو لا يُمثل بُعد النقطة عن الضلع
وبحسب نظريةُ مُنصِّفِ الزاويةِ : كلُّ نقطةٍ على مُنصِّفِ الزاويةِ تكونُ على بُعْدينِ متساويينِ منْ ضلعيْها، إذن :
|
إذا كانَتِ النقاطُ: D، و E، و F هيَ مُنصِّفاتِ أضلاعِ ΔABC في الشكلِ المُجاوِرِ، فأستعملُ المعلوماتِ المعطاةَ في الشكلِ للإجابةِ عنِ الأسئلةِ الآتيةِ، مُبرِّرًا إجابتي : 20) أيُّ نقاطِ الشكلِ هيَ مركزُ الدائرةِ المارَّةِ بالنقاطِ : A ، و B ، و C ؟ 21) أيُّ نقاطِ الشكلِ هيَ مركزُ دائرةٍ تمسُّ كلَّ ضلعٍ منْ أضلاعِ ؟ 22) إذا كانَ ، فما طولُ ؟ |
![]() |
الحل :
20) النقطة ، لأنها نقطة تلاقي منصفات أضلاع المثلث فهي مركز الدائرة الخارجية التي تمر برؤوس المثلث .
21) النقطة ، لأنها نقطة تلاقي منصفات زوايا المثلث فهي مركز الدائرة الداخلية التي تمس أضلاع المثلث .
22) ، لأنّ هي مركز الدائرة الخارجية للمثلث التي تمر برؤوسه الثلاث ، أي هي أنصاف أقطار للدائرة الخارجية .
23) تحدٍّ: أجدُ مركزَ الدائرةِ الخارجيةِ للمُثلَّثِ في المستوى الإحداثيِّ المُجاوِرِ.

الحل :
تلتقي المنصفات العمودية لأضلاع لمثلث في النقطة (0 , 0) ، وهي مركز الدائرة الخارجية للمثلث ، حيث أنّ النقطة (0 , 0) لها البعد نفسه عن رؤوس المثلث .
أسئلة كتاب التمارين
أجدُ كُلًّ ممّا يأتي:

الحل:
1)
2)
3)
4) النقطة L نقطة تلاقي المنصفات العمودية لأضلاع المثلث، إذن لها نفس البعد عن رؤوس المثلث، أي:
أستخدم نظرية فيثاغورس في المثلث LEK

أستعملُ الشكلَ المُجاوِرَ لإكمالِ الفراغِ في كلٍّ منَ العباراتِ الآتيةِ :
![]() |
![]() |
الحل:
9) أستعملُ المعلوماتِ المعطاةَ في الشكلِ الآتي لإيجادِ قياسِ كلٍّ منْ y ، و x ، و w ، و m ، و k ، و h ، و z .

الحل :
| نظرية (نقطة تلاقي منصفات الزوايا في المثلث لها البعد نفسه عن أضلاع المثلث) | |
| AD منصف للزاوية | |
| نظرية (نقطة تلاقي منصفات الزوايا في المثلث لها البعد نفسه عن أضلاع المثلث) | |
|
قياس الزاوية PBD يساوي من مجموع زوايا المثلث PDB ، إذن قياس الزاوية ABC يساوي في المثلث ABC قياس الزاوية ACB يساوي ، إذن |
|
| نصف الزاوية | |
| تطابق المثلثين | |
|
باستخدام نظرية فيثاغورس في المثلث PBD
|








