اختبار حاسوب تجريبي
اختبار حاسوب تجريبي
عدد الاسئلة : 50 أسئلة
اختبار حاسوب تجريبي
00 : 00 دقيقة
من أنظمة العد الموضعية :
وزن الخانة الثالثة بواسطة قوى الأساس للعدد 2( 110 )
أ - 23
ب - 102
ج - 22
د - 103
وزن الخانة الأولى بالأعداد الصحيحة للعدد 8(39) هو :
قيمة الرقم للخانة الثانية في العدد 361 هو :
Bit هي الخانة التي يمثلها الرمز داخل النظام
العدد الذي ينتمي للنظام الثماني من بين الأعداد الآتية هو
المكافئ العشري للعدد 16(11) هو :
المكافئ الثماني للعدد 13 هو :
ناتج جمع العددين (100)2 + 101 بالنظام الثنائي هو :
ناتج التعبير العلائقي 59 > = (73)8 هو :
المكافئ السادس عشر للعدد 2(100011) هو :
ناتج ضرب بالنظام الثماني هو
التحقق من نظام الحل لحاصل الجمع الثنائي الآتي 010011 + 1111111 = 10010010 هو:
ناتج طرح العدد (1010) 2 من العدد (10100) 2 بالنظام العشري هو :
من فوائد الروبوت في مجال الصناعة هو :
برنامج الحاسوبي ذكي يستخدم قواعد المعرفة في مجال معين لحل المشكلات يحتاج لخبرة بشرية يسمى :
من المنهجيات التي يقوم عليها الذكاء الاصطناعي :
طريقة معالجة المعلومات بشكل متواز في آلات الذكاء الاصطناعي تعني:
من ميزات برامج الذكاء الاصطناعي التي تتعامل مع الأرقام والأحرف بدلا من البيانات الرقمية 0 و 1 هي :
من تطبيقات الذكاء الاصطناعي هو :
ألعاب كاراكوري هي :
صفة من صفات الربوت والتي يعبر عنها الشكل الآتي :
الجزء المسؤول عن تحويل الأوامر للمتحكم لحركة فيزيائية من اجزاء الربوت هو :
من الأمثلة على الربوتات حسب مجال حركتها هو :
من الامثلة على برامج النظم الخبيرة في تشخيص الأمراض التنفسية :
من مكونات الأنظمة الخبير والتي تخزن المشكلة المدخلة بوساطة مستخدم النظام :
الحساس المستخدم للتمييز بين ألوان الأجسام المختلفة هو :
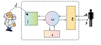
يدل الرمز ( هــ ) ضمن الشكل الآتي إلى

من انواع خوارزميات البحث :
نقطة البداية التي نبدأ منها البحث لحل المشكلة هي:
مسار الحل للوصول للنقطة C باستخدام الخوارزمية الرأسية ضمن شجرة البحث الآتية :

عدد النقاط الميتة ضمن شجرة البحث الآتية :

العبارة المنطقية التي تمثل الشكل الآتي هي :

البوابة المنطقية الأساسية تعطي مخرجاً قيمته ( 1) إذا كانت قيمة أي من المداخل أو كلاهما (1)
البوابة المنطقية المشتقة ضمن الأشكال الآتية والتي تعطي مخرجا قيمته 1
أ-

ب -

ج -

د -

تكتب العبارة المنطقية الآتية بالجبر البوولي NOT ( A OR C AND B ) :
أ -

ب-

ج-

د-

ناتج العبارة المنطقية الجبرية الآتية :

قيمة A في العبارة الجبرية الآتية اذا كان ناتج العبارة هو 1 :

العبارة المنطقية للبوابة المنطقية الآتية ضمن الشكل المجاور

من أسباب التهديدات التي تكون نتيجة الاهمال أو خطأ مثل كتابة 24 بدلا من 42
من انواع الاعتداءات الالكترونية التي تؤدي إلى الاخلال بسلامة المعلومات هو
من الامثلة على استخدام الانترنت ضمن مجال البيئة المحيطة في الهندسة الاجتماعية
وظيفة الجهاز الوسيط الموجه أو الجدار الناري الذي يستخدم في تقنية NAT
تشفير النص الآتي " I can see you in my dream " علما بأن مفتاح التشفر 5
فك تشفير النص الآتي "Ti
sm
hnehsi
ycac " علما بأن مفتاح التشفر 2
من الامثلة على IPV4 :
العبارة الصحيحة ضمن العبارات الآتية ضمن العناوين الرقمية للشبكات والأجهزة
اذا كان لدى الجهاز الوسيط في تقنية NAT عدد كاف من العناوين الرقمية الخارجية فانه
من الامثلة على طريقة التشفير بالتعويض
من مزايا خوارزمية الخط المتعرج :