امتحان نهائي فصل اول حاسوب-محمد توفيق
امتحان نهائي فصل اول حاسوب-محمد توفيق
عدد الاسئلة : 50 أسئلة
امتحان نهائي فصل اول حاسوب-محمد توفيق
00 : 00 دقيقة
1- يسمى الرمز 1
2- ترتيب الخانة للرقم 6 في العدد هي :
3- للتحويل من النظام العشري إلى أي نظام عد آخر تتوقف عملية القسمة إذا كان
4- العدد ينتمي إلى جميع أنظمة العد ما عدا
5- عدد الرموز المستخدمة في النظام السادس عشر هو
6- واحد من الاتي ليس من أوزان خانات النظام الثماني
7- أعلى قوة (أس) عند تحويل العدد إلى النظام العشري هو
8- استخدم نظام العد الستيني من قبل
9- النظام الذي صمم من أجل التسهيل على المبرمجين استخدام الحاسوب هو
10- العدد العشري المكافئ للعدد الثنائي يساوي
11- العدد السادس عشر المكافئ للعدد العشري يساوي
12- العدد الثماني المكافئ للعدد العشري
13- العدد الثماني المكافئ للعدد الثنائي يساوي
14- العدد الثنائي المكافئ للعدد السادس عشر يساوي
15- العدد العشري المكافئ للعدد السادس عشر يساوي:
16- العدد العشري المكافئ للعدد الثماني يساوي
17- ناتج جمع
18- ناتج طرح العدد من العدد
19- حاصل ضرب العددين بالنظام العشري هو
20- العدد العشري المكافئ للعدد السادس عشر يساوي
21- عند التحويل من النظام العشري إلى النظام السادس عشر فإننا نقوم ب
22- عند تحويل عدد من النظام الثنائي إلى النظام السادس عشر فإننا نقسم العدد الثنائي إلى مجموعات بحيث تتكون كل مجموعة من
23- للذكاء الاصطناعي قوانين مبنية على
24- " استخدام المعلومات التي تنتج من معالجة البيانات ودمجها مع الخبرات." هذه العبارة تمثل
25- التوقع بحالة الطقس أو أسعار الأسهم تعتبر من المشاكل التي ينجح النظام الخبير في حلها وتقع ضمن فئة
26- من أجزاء الروبوت والذي يستقبل البيانات ، ثم يعالجها عن طريق التعليمات البرمجية المخزنة داخله ، ويعطي الأوامر اللازمة للاستجابة لها :
27- تسمى الحالات الممكنة جميعها لحل المشكلة ب
28- العبارة "إنشاء أنظمة خبرية قادرة على التعلم والإدارة وتقديم النصيحة لمستخدميها" تعتبر من
29- النسبة المطلوبة لاجتياز اختبار تورينغ هو خداع
30- صاحب كتاب (معرفة الحيل الهندسية) هو العام
31- العبارة الاتية " التقاط ضوء يدل على وجود جسم قريب من الروبوت" تعبر عن إحدى صفات آلة الروبوت وهي
32- أحد أنواع الروبوت حيث يقوم ذراع الروبوت باستشعار النبضات العصبية الصادرة عن الدماغ والاستجابة لها هو:
33- أي الاتية من صفات المشكلات التي تعمل خوارزميات البحث في الذكاء الاصطناعي على حلها:
34- الفائدة المرجوة من استخدام الروبوتات حيث يمكن التعديل على البرنامج المصمم للروبوت حسب المتطلبات التي تقتضيها عملية التصنيع
35- في النظام الخبير،يُسمح للمستخدم بإدخال درجة ثقته بإجابته،وهذا يدل على قدرة النظام الخبير على
36- تستخدم شجرة البحث لإيجاد حل محتمل للمشكلة عن طريق النظر في البيانات المتاحة بطريقة منظمة تعتمد على
37- من المكونات الرئيسية للنظم الخبيرة التي تتميز بالمرونة
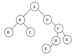
38- اشتقت كلمة روبوت من الكلمة التشيكية (روبوتا)والتي تعني
39- من محددات استخدام الروبوت في مجال الصناعة
40- من مزايا النظام الخبير أنه غير معرض للنسيان ويعود الفضل في هذا إلى:
41- الروبوت السباح والثابت تعد من الروبوتات المصنفة حسب
42- في الشكل المجاور ،إذا كانت K هي النقطة الهدف،فإن مسار البحث في العمق أولا هو:

43- في الشكل المجاور، عدد الآباء هو

44- سلسلة من الخطوات غير المعروفة مسبقا،للعثور على الحل الذي يطابق مجموعة من المعايري من بين مجموعة من الحلول المحتملة
45- من مميزات برامج الذكاء الاصطناعي التي تبني قدرة البرنامج على تصنيف عنصر إلى فئة معينة ، بعد تعرفه عدداً من العناصر المشابهة:
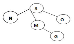
46- الشكل المجاورة يمثل

47- تطور مفهوم فكرة الروبوت عبر العصور، وتم في القرن التاسع عشر
48- النظام الخبير الذي يعطي نصائح لعلماء الآثار لفحص الأدوات الحجرية.
49- استخدام خوارزمية البحث في العمق أولا يعطي المسار الأقصر للحل دائما:
50- كل نظام خبري تم تصميمه لحل مشكلة مرتبطة في