أتحقق من فهمي صفحة 140
في تجربة إلقاء حجري نرد منتظمين عشوائيًا معًا مرةً واحدةً ، أجد احتمال ظهور عدد فردي على حجر النرد الأول وعدد أكبر من 4 على حجر النرد الثاني
أتحقق من فهمي صفحة 140
أحدد إذا كان الحادثان مستقلين أم لا في الحالات الآتية :
a) اختيار قطعة حلوى حمراء عشوائيًا وأكلها ، ثم اختيار قطعة حلوى حمراء أخرى عشوائيًا من كيس يحوي 10 قطع حلوى حمراء و 25 قطعة حلوى زرقاء ، جميعها متماثلة
غير مستقلين
b) ظهور العدد 5 على حجري نرد ألقيا معا مرة واحدة عشوائيا
مستقلان
c) سحب كرة حمراء عشوائيا من كيس فيه كرات متماثلة ، 4منها حمراء و 3 صفراء ثم إعادتها إلى الكيس ثم سحب كرة حمراء أخرى عشوائيا .
مستقلان
أتحقق من فهمي صفحة 142
يحتوي كيس على 6 قطع حلوى حمراء R و 8 قطع حلوى خضراء G جميعها متماثلة . اختار طفل من الكيس قطعة حلوى عشوائيًا و أكلها ، ثم اختار قطعة أخرى عشوائيًا ليأكلها. أجد احتمال كل من الحادثين الآتيين باستعمال الشجرة الإحتمالية :
a) اختيار الطفل قطعتي حلوى متماثلتي اللون
b) اختيار الطفل قطعتي حلوى مختلفتي اللون
أتحقق من فهمي صفحة 143
ألقي حجر نرد منتظم عشوائيًا مرة واحدة . ما احتمال ظهور عدد أكبر من 3 إذا كان العدد الظاهر زوجيا؟

أتحقق من فهمي صفحة 144
إذا سحبت عينة عشوائية ، فما احتمال أن تكون غير ورقية ، علما بأنها جمعت يوم السبت ؟

اتدرب واحل مسائل صفحة 145
كرات زجاجية: يحتوي كيس على 5 كرات حمراء (R)، و3 كرات(G)، وكرتين(Y)، جميعها متماثلة. سحبت كرة من الكيس عشوائيا، ثم كتب لونها، ثم اعيدت الى الكيس، ثم سحبت كرة اخرى عشوائيا، ثم كتب لونها:
1) ما احتمال ان تكون الكرة الاولى حمراء والثانية صفراء؟
الحل
2) ما احتمال ان تكون الكرتان خضراوين؟
الحل
احدد اذا كان الحادثان مستقلين او غير مستقلين في كل من التجارب العشوائية الاتية:
3) سحب كرة زرقاء عشوائية من صندوق، والحصول على العدد 5 عند القاء حجر نرد منتظم مرة واحدة
مستقلان
4) اختيار طالب من مواليد شهر 10 عشوائيا ليخرج من غرفة الصف، ثم اختيار طالب اخر عشوائيا من مواليد شهر 5 ليلحق به
غير مستقلين
5) الحصول على عدد زوجب عند القاء حجر نرد منتظم مرة واحدة، وعدد يقبل القسمة على 2 عند القاء حجر نرد اخر منتظم
مستقلان
6) اصابة صيادين الهدف الثابت الذي اطلق كل منهما طلقة واحدة نحوه عشوائيا
مستقلان
7) سحب بطاقة عشوائيا تحمل العدد 6 من مجموعة بطاقات متماثلة تحمل الارقام من 1 الى 10، ثم اعادتها، ثم سحب بطاقة اخرى عشوائيا تحمل عددا زوجيا
مستقلان
اقلام حبر: في علبة قلما حبر احمر، وثلاثة اقلام حبر ازرق، جميعها متماثلة. اختار سالم منها قلمين عشوائيا على التوالى من دون ارجاع. اجد احتمال كل من الحوادث الاتية باستمعال الشجرة الاحتمالية:
8) اختيار قلمي حبر احمر
الحل
9) اختبار قلمي حبر ازرق
الحل
10) اختيار قلم حنر من كل لون
الحل
اختبارات: تقدم سامي لاختبارين في الرياضيات، وكان احتمال نجاحه في الاول %75 واحتمال نجاحه في الثاني اذا نجح في الاول %80، واحتمال رسوبه في الثاني اذا رسب في الاول %60، فاجد كلا مما ياتي:
11) احتمال نجاح سامي في كلا الاختبارين
12) احتمال نجاح سامي في احد الاختبارين، ورسوبه في الاخر
الحل
A : حادث الاختبار الأول
B : حادث الاختبار الثاني

سئل 100 شخص عن وجود اخ لهم او اخت، وقد توزعوا وفق اجاباتهم كما في شكل قن المجاور، حيث:
B: الاشخاص الذين لكل منهم اخ
S: الاشخاص الذين لكل منهم اخت

اذا اختير احد هؤلاء الاشخاص عشوائيا، فما احتمال:
13) ان يكون له اخ؟
14) ان يكون له اخ، علما بان له اختا؟
15) ان يكون له اخت، علما بان له اخا؟
الحل

وظائف: يبين الجدول المجاور اعداد المتقدمين لوظيفة في احدى الشركات، ومؤهلاتهم العلمية، وخبراتهم السابقة.اذا اختير احد المقتدمين للوظيفة عشوائيا، فما احتمال:

16) ان يكون خبرة سابقة، علما بان لديه شهادة جامعية ؟
17) الا يكون لديه شهادة جامعية، علما بان لديه خبرة سابقة؟
الحل
A: لديه خبرة سابقة
B: لديه شهادة جامعية
اذن،

اشارات مورو: تمر غادة في رحلة عودتها من العمل بشارع رئيس عليه اشارتان ضوئيتان. اذا كان احتمال ان تصل الاشارة الاولى، وتجتازها وهي مضاءة باللون الاخضر G هو 0.3، واذا كانت مضاءة بالاحمر R، فان احتمال وصولها الاشارة الثانية وهي مضاءة بالاحمر هو 0.4، اما اذا كانت الاشارة الاولى مضاءة بالاخضر، فان احتمال وصولها الاشارة الثانية وهي مضاءة بالاحمر هو 0.4
استمعل التمثيل بالشجرة الاحتمالية لايجاد كل من الاحتمالات الاتية:
18) احتمال وصولها كلا من الاشرتين وهما مضاءتان بالاحمر
19) احتمال وصولها كلا من الاشارتين وهما مضاءتان بالاخضر
20) احتمال وصولها احدى الاشارتين وهي مضاءة بالاخضر، ووصولها الاشارة الاخرى وهي مضاءة بالاحمر
الحل
ارصاد جوية: افادت مذيعة النشرة الجوية ان احتمال تساقط الثلوج يوم الاثنين هي %25، وانها ترتفع الى %90 يوم الثلاثاء. استعمل التمثيل بالشجرة الاحتكالية لايجاد احتمال:
21) تساقط الثلوج يوم الثلاثاء، وعدم تساقطها يوم الاثنين
22) عدم تساقط الثلوج في كلا اليومين
23) تساقط الثلوج في احد اليومين على الاقل
الحل

صيد: اطلق صياد طلقة واحدة على هدف ثابت، واطلق اطلقة واحدة على الهدف نفسه. اذا كان احتمال اصابة الاول للهدف %70، واحتمال اصابة الثاني للهدف %60، فاجد احتمال:
24) اصابة كلا الصيادين الهدف
25) عدم اصابتهما الهدف
26) اصابة الصياد الثاني الهدف، علما بان الصياد الاول اصاب الهدف
27) عدم اصابة الصياد الثاني الهدف، علما بان الصياد الاول لم يصب الهدف
الحل
24) 0.42
25) 0.12
26) 0.60
27) 0.40
28) احل السؤال الوراد في فقرة مسالة اليوم
تحتوى السنة على 365 يومًا ؛ لذا ، فإن احتمال أن يكون الأول من شهر أيلول يوم ميلاد شخص هو تقريبًا. إذا اختير شخصان عشوائيًا،فما احتمال أن يكون يوم ميلاد كليهما الأول من شهر أيلول؟
الحل
مهارات التفكير العليا
29. تبرير : إذا كان A و B حادثين متنافيين في تجربة عشوائية ، فما فيمة ؟ ابرر إجابتي
الحل

30. تبرير : قالت تماضر : إنه لأي حادثين (A)و(B) في فضاء العينة لتجربة عشوائية ما، فإن :

هل قول تماضر صحيح ؟ أبرر إجابتي .
الحل

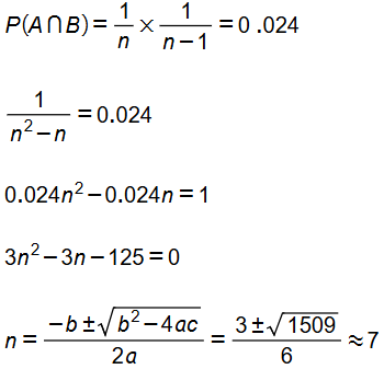
31. تحد : يحتوي كيس على n من الكرات المتماثلة مختلفة الألوان . إذا كان احتمال سحب كرة حمراء ثم سحب كرة خضراء من دون إرجاع % 2.4 تقريبًا ، فما قيمة n ؟
الحل

32. مسألة مفتوحة : أذكر مثالا على حادثين مستقلين ، ومثالا آخر على حادثين غير مستقلين ، مبينًا كيف أجد احتمال وقوع الحادثين معًا في كل مثال .
حادثان مستقلان : سحب كرة عشوا~يًا من كيس فيه 5 كرات حمراء و 3 كرات صفراء جميعها متماثلة ثم سحب كرة عشوائية من كيس آخر فيه 6 حمراء و 4 صفراء جميعها متماثلة فإن نتيجة سحب الكرة من الكيس الأول لا تؤثر في نتيجة سحب كرة من الكيس الثاني
حادثان غير مستقلان : سحب كرتين على التوالي عشوائيًا من كيس فيه كرات متماثلة وعدم إرجاع أي منهما إلى الكيس فإن عدم إرجاع الكرة المسحوبة أولا من الكيس أي نقص عدد الكرات المتبقية فيه وهذا يعني أن احتمال سحب الكرة الثانية سيتأثر بنتيجة الكرة المسحوبة أولًا
كتاب التمارين صفحة 29
يحتوى كيس على 3 زجاجية حمراء (R)،وكرتين زجاجيتين زرقاوين (B)، علما بان جميع الكرات متماثلة. اذا سحبت من الكيس كرتان على التوالى مع الارجاع:
1) اكمل الشجرة الاحتمالية المجاورة

2) اجد احتمال ان تكون الكرتان المسحوبتان من اللون نفسه
3) اجد احتمال ان تكون واحدة على الاقل من الكرات المسحوبة حمراء اللون
4) اجد احتمال الا تكونالكرتان المسحوبتان حمراوين
يحتوي كيس على 5 حبات حلوى بنكهة العناع R و 4 حبات أخرى بنكهة الكراميل Y علما بأن جميع الحبات متماثلة. اختار طفل من الكيس حبة حلوى عشوائيًا و أكلها ، ثم اختار حبة عشوائية أخرى وأكلها:
5. أكمل الشجرة الاحتمالية المجاورة .
6. ما احتمال أن يكون الطفل قد أكل حبتي حلوى بنكهة الكراميل ؟
7. ما احتمال أن يكون الطفل قد أكل حبة حلوى بنكهة النعناع في المرة الثانية ، علما بأنه أكل حبة بنكهة الكراميل في المرة الأولى ؟
إذا كان , فأجد :

11. ألقي حجر نرد منتظم عشوائيًا مرتين متتاليتين ، وجمع الرقمان الظاهران على الوجه العلوي . أجد احتمال أن يكون المجموع 8 إذا ظهر الرقم 5 مرة واحدة على الأقل .
