أتحقق من فهمي صفحة 33
تمثل الأزواج المرتبة للعلاقة إحداثيات رؤوس المثلث ABC. أجد العلاقة العكسية ، ثم أمثل بيانيا العلاقة والعلاقة العكسية على المستوى الإحداثي نفسه.
الحل:
العلاقة العكسية :
أتحقق من فهمي صفحة 36
أجد الاقتران العكسي لكل من الاقترانين الآتيين :

أتحقق من فهمي صفحة 37
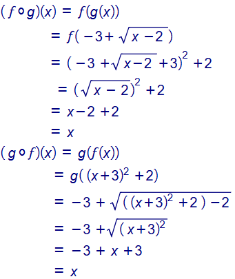
أثبت أن كلا من الاقترانين f(x) = 4x -8 و هو اقتران عكسي للآخر.
الحل:

أتحقق من فهمي صفحة 38
أجد مجال ومداه ، ثم أجد الاقتران العكسي له.
الحل :

أتحقق من فهمي صفحة 39
يرتبط محيط الرأس C للطفل بطوله H ( كلا القياسين بالسنتيمتر) عن طريق الاقتران :
:H(C) = 2.15 C - 26.75
a) أكتب اقترانا يعبر عن محيط الرأس C بدلالة طول الطفل H .
الحل :
H = 2.15C -26.75
H +26.75 = 2.15C
b) أجد محيط رأس طفل طوله 66cm
الحل:
أتدرب و أحل المسائل
أحدد الاقتران الذي له اقتران عكسي في كل مما يأتي ، مبررا إجابتي ، ثم أكتب الاقتران العكسي ( إن وجد) :
1.
الحل :
ليس له اقتران عكسي لأنه ليس واحد لواحد حيث 2 و 3- مرتبطين مع 6
2.
الحل :
له اقتران عكسي لأنه واحد لواحد
3.
الحل :
له اقتران عكسي لأنه اقتران واحد لواحد
4.
الحل:
ليس له اقتران عكسي لأنه ليس اقتران واحد لواحد حيث 3 و 3- مرتبطين مع 3
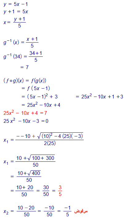
إذا كان ، فأجد قيمة كل مما يأتي :
5. f( -2)
الحل
6. f(4)
الحل
7. f -1(9)
الحل
8. f -1(18)
الحل
أجد الاقتران العكسي لكل من الاقترانات الآتية :
f(x) =x +7 (9
الحل:
y = x +7
y-7 = x
f-1(x) = x - 7
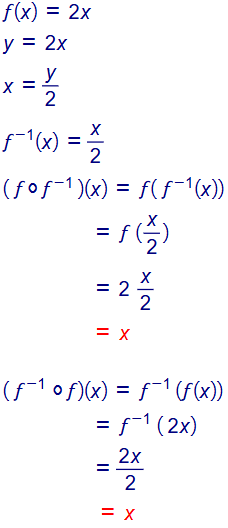
f(x) = 8x (10
الحل
11.
الحل
=
الحل
13. f(x) = 4x3
الحل
الحل
15.

17. أثبت أن كلا من الاقترانين f(x) , g(x) هو اقتران عكسي للآخر :

18. أثبت أن هو اقتران عكسي لنفسه .
19. صناعة إذا كان C(x) يمثل التكلفة C بالدينار لإنتاج x وحدة من مصابيح الإنارة ، فماذا يمثل المقدار C -1 ( 23000) ؟
يمثل عدد المصابيح المنتجة إذا كانت الكلفة 23000
20. أرسم منحنى الاقتران العكسي للاقتران f المجاور في المستوى الإحداثي نفسه، معينا المجال و المدى لكل من f و f-1 .
الحل :
21. أجد الاقتران العكسي للاقتران :
, f(x) = x2 -2x +5 , ثم أمثل f(x) و f-1 (x) بيانيا في المستوى الإحداثي نفسه .
( إرشاد : أكتب f(x) بصورة باستعمال إكمال المربع )

22. كيمياء : في دورق 100ml من أحد المحاليل ، منها 25ml من حامض الهيدروكلوريك . إذا أضيف إلى الدورق n ml من محلول مشابه ، تركيز الحامض فيه 60% ، فإن تركيز الحامض في الدورق يعطى بالاقتران . أعبر عن n بصورة اقتران بدلالة التركيز C، ثم أجد عدد المليمترات n التي يجب إضافتها ليصبح تركيز الحامض في الدورق 50% .
23. أحل المسألأة الواردة في بداية الدرس.
يستعمل الاقتران L = 0.5w +3 لإيجاد طول الزنبرك L بالسنتميترات في الميزان الزنبركي عند قياس كتلة الجسم w بالكيلوغرام. هل يمكن إيجاد اقتران آخر يستعمل لإيجاد كتلة الجسم إذا علم طول الزنبرك ؟
نعم فالاقتران العكسي يبين كتلة الجسم بدلالة طول الزنبرك ، وهو
w = 2( L -3)
حيث
L -3 = 0.5 y
y = 2( L -3)
24. تعطى مساحة السطح الكلية A للأسطوانة التي نصف قطر قاعدتها r ، وارتفاعها 40cm بالاقتران.
. أعبر عن نصف القطر r بصورة اقتران بدلالة المساحة A ، ثم أجد طول نصف قطر قاعدة أسطوانة مساحة سطحها الكلية 2000cm2.

25. أجد الاقتران العكسي للاقتران ثم أمثل f(x) , f-1(x) بيانيا في المستوى الإحداثي نفسه .
مهارات التفكير العليا
26. تبرير : إذا كان f(x) اقتران عكسي ، وكان له صفر عندما x =4 ، فما الذي يمكن استناجه عن منحنى f-1 (x) ؟
منحنى الاقتران f -1 (x) يمر بالنقطة ( 4 , 0 )
27. مسألة مفتوحة : أكتب قاعدة اقتران واحد لواحد والاقتران العكسي له، ثم أثبت أن كلا منهما اقتران عكسي للآخر.

28. تحد : إذا كان و و فأحل المعادلة :

كتاب التمارين
إذا كان ، فأجد كلا مما يأتي :
1. g(9) =
2. g(4) =
3. g-1 (70) =
4. g-1 (60) =
5. إذا كان f(x) اقتران واحد لواحد ، و f(3) = 8 ، فماذا يستنتج من هذه المعطيات ؟
أن f-1 (8) = 3
6. إذا كان f(x) يمثل عدد الوحدات المنتجة في x ساعة عمل لمنتج معين ، فماذا يمثل المقدار f-1 ( 2540) ؟
أجد الاقتران العكسي f-1(x) لكل مما يأتي ، محددا مجـاله و مـداه :
7. f(x) = 3x -5
مجاله : جميع الأعداد الحقيقية
مداه : جميع الأعداد الحقيقية
8. f(x) = 4 -7x
مجاله : جميع الأعداد الحقيقية
مداه : جميع الأعداد الحقيقية
مجاله
مداه
مجاله
مداه
مجاله : جميع الأعداد الحقيقية ما عدا
مداه : مجموعة الأعداد الحقيقية ما عدا 3-
مجاله مجموعة الأعداد الحقيقية ما عدا
مداه مجموعة الأعداد الحقيقية ما عدا 2
مجاله جميع الأعداد الحقيقية
مداه
مجاله مجموعة الأعداد الحقيقية
المدى
مجاله مجموعة الأعداد الحقيقية
المدى مجموعة الأعداد الحقيقية
مجاله مجموعة الأعداد الحقيقية
المدى مجموعة الأعداد الحقيقية
أمثل إذا كان كل من الاقترانين h(x) , f(x) اقترانا عكسيًا للآخر أم لا :
17 . f(x) = 2x -5 , h(x) = 5x +2
19. أمثل الاقتران العكسي للاقتران ، ثم أمثل f(x) و f-1 (x) في المستوى الإحداثي نفسه .
20. هندسة : تعطى مساحة الدائرة بالاقتران حيث A المساحة ، و r نصف القطر. أعبر عن r في صورة اقتران نسبة إلى المساحة A ، ثم أجد طول نصف قطر دائرة مساحتها 250cm2
21 . فيزياء : يعطى زمن الدورة T ثانية لبندول بسيط بالاقتران ، حيث L طول البندول بالأمتار . أعبر عن L في صورة اقتران نسبة
إلى الزمن T ، ثم أجد طول بندول زمن دورته 3s