اتحقق من فهمي صفحة 96
اذا كان ، ، فاجد كلا مما ياتي:

اتحقق من فهمي صفحة 98
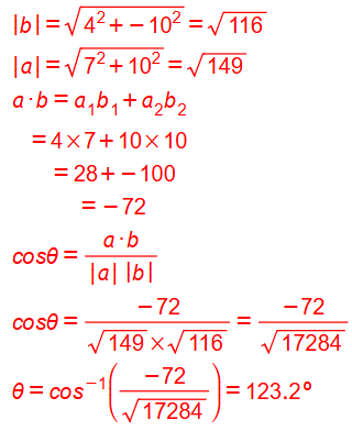
اجد قياس الزاوية المحصورة بين المتجهين

اتحقق من فهمي صفحة 99
احدد اذا كان المتجهان
متعامدين ام لا
null
غير متعامدين؛ لان ناتج ضربهما القياسي لا يساوي صفرا، وانما يساوي 3
اتحقق من فهمي صفحة 100
سحب فارس عربة، فبذل شغلا مقداره 13J، بقوة مقدارها 50N، مسافة d=30m
ما قياس الزاوية المحصورة بين قوة السحب واتجاه المسافة المقطوعة (باهمال قوة الحتكاك) لاقرب جزء من عشرة؟

اتدرب واحل المسائل صفحة 100
اجد ناتج الضرب القياسي للمتجهين في كل مما ياتي:

5) اذا كان ،و، وكان قياس الزاوية المحصورة بين aوb هو ، فاجد ناتج
6) اذا كان ،و ، وكان قياس الزاوية المحصورة بين aوb هو ، فاجد ناتج
7) اجد قياس الزاوية بين المتجهين ،و لافرب جزة من عشرة

أجد ناتج الضرب القياسي للمتجهين في كل مما يأتي، ثم أجد قياس الزاوية المحصورة بينهما:

10) أحدد إذا كان المتجهان ،و متعامدين أم لا، مبررا إجابتي
غير متعامدين، لان ضربهما القياسي لا يساوي صفرا، وانما يساوي 1
11) إذا كان إذا متجهين متعامدين، فأجد قيمة b
12) شيرات: تسحب شاحنة سيارة كما في الشكل المجاور. اذا كان مقدار قوة السحب F=34N، والمسافة المقطوعة d=12km، وشغل الشاحنة المبذول W=46J، فاجد قياس زاوية السحب



16) احل المسافة الواردة في بداية الدرس
مسالة اليوم : دفع محمد عربة طفلته بقوة مقدراها 70N، وبزاوية مسافة 18m. ما مقدار الشغل الذي بذله لدفع العربة بوحدة جول (J)، وباهمال قوة الاحتكاك؟

مهارات التفكير العليا
برهان: إذا كانت c, b, a متجهات، وكان 0 المتجه الصفري، فاثبت صحة كل مما يأتي:

20) مسالة مفتوحة: اذا كان ، و ، فأجد فتراض قيمة محتملة للمتجه p
بافتراض ان ، فان:
ولهذه المعادلة عدد لانهائي؛فاذا افترضنا ان
a=2
b=9
p=(2,9)
وباقتراض وجود قيم احرى لa، فانه توجد قيم مناظرة b، فتنتج قيم ممكنة للمتجه
21) مسالة مفتوحة: اجد متجها يعامد المتجه
22)تبرير: ايبن باستعمال المتحهات ان المثلث الذي رؤوسه الناط: (2-,4-), (1,5),(2-,6) متطابق الضلعين، ثم اجد قياسات جميع زواياه، مبررا اجابتي

اذا، المثلث ABC متطابق الضلعين

23) تبرير: اذا كان المتجهان متوازيين، فما قيمة r؟
إذا كان قياس الزاوية بينهما أو
أي أن يساوي
أي أن

كتاب التمارين صفحة 22
اجد ناتج القياسي للمتجهين في كل مما ياتي:
3)
-92
4)
-72
احدد اذا كان المتجهان uوv متوازيين، او متعمدين، او غير ذلك في كل مما تاتي:
اجد قياس الزاوية بين المتخهين في كل مما تاتي:
7)
8)
9) يمثل الشكل المجاور سحب طاولة بقوة مقدراه 45N، وزاوية قياسها مع الافقي. اذا سحبت الطاولة مسافة 20cm، فاجد مقدار الشغل الذي بذل
تقريبا 7.8J