أتحقق من فهمي صفحة 82
اعتمادا على الشكل المجاور ، اكتب المتجهات الآتية بالصورة الإحداثية :

أتحقق من فهمي صفحة 83
أجد مقدار كل متجه مما يأتي :

أتحقق من فهمي صفحة 84 :
أجد اتجاه في الشكل المجاور .
الحل

أتحقق من فهمي صفحة 85
ألعاب : أقلعت طائرة تتحكم فيها ميساء عن بعد، بزاوية قياسها عن سطح الأرض، وبسرعة 6m /s كما في الشكل المجاور .
أكتب المتجه الذي يمثل السرعة المتجهة للطائرة .

أتدرب و أحل المسائل
أكتب كل متجه علمت نقطتا ونهايته في ما يأتي بالصورة الإحداثية ، ثم أجد مقداره :
1. ( 2,5) , ( 4 , -1)
2., ( -4 , 7) , (-3 , 0)
3. ( 6 , -2) , (8 ,1)
4. ( 4, -9) , (3 , -5)
5. (-1.5 , 3) , ( 0.5 , -4)
اعتمادا على الشكل المجاور ، أكتب كلا من المتجهات الآتبة بالصورة الإحداثية :


نقطة منتصف القطعة المستقيمة D
أجد مقدار كل متجه مما يأتي :

إذا كانت M هي نقطة منتصف حيث F ( 4,2) و G (2,6) وكانت O هي نقطة الأصل ، فأكتب كل متجه مما يأتي بالصورة الإحداثية :
23. أعبر عن اتجاه المتجه P في الشكل المجاور بطريقتين :
اتجاه P هو مع الافقي
اتجاه P هو مع العمودي
24 . حيوانات : أكتب السرعة المتجهة لثعلب يطارد أرنبا على منحدر بالصورة الإحداثية إذا كانت سرعته الأفقية Vx = 27 km / h ، وسرعته الرأسية Vy = 25 km /h
( 27 , 25 )
25. فيزياء : تدفع نور عربة بقوة مقدارها 350N وبزاوية مقدارها مع المحور الأفقي .
أكتب متجه القوة بالصورة الإحداثية .


28 . خرج عبد الرحمن من منزله، وسار بخط مستقيم شرقًا إلى المسجد مسافة 248m ، ثم خرج منه مرة أخرى ، وسار بخط مستقيم جنوبا نحو منزل صديقه يحيى مسافة 562m . أعبر عن المسار بين منزل عبد الرحمن و منزل صديقه على شكل متجه بالصورة الإحداثية
( إرشاد : البعد بين نقطتين هو أقصر مسافة بينهما )
مهارات التفكير العليا


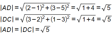
31. أكتشف الخطأ : حسب كل من ناصر وليلى مقدار المتجه ، فكانت إجابة كل منهما كما يأتي :
هل إجابة أي منهما صحيحة ، مبررا إجابتي ؟
كلتا الاجابتين غير صححيحة؛ لان ناصرا نسي الجزر التربيعي، وليلى طرحت مربعي المركبتين بدلا من جمعهما
32 . مسألة مفتوحة : أرسم متجها على المستوى الإحداثي ، ثم أكتبه بالصورة الإحداثية ، ثم أجد مقداره .
حل مقترح
كتاب التمارين صفحة 20
اذا كان ،فاكتب كلا مما ياتي بالصورة الاحداثية، ثم اجد مقداره:

7) اكتب كلا من ،و بالصورة الاحداثية. ماذا استنتج من موقع B، وD، وF؟
إذا النقاط F , B , D تقع على خط مستقيم
استعمل احداثيي النقطةA(6,3) للاجابة عن المسائل الاتية:
8) اذا كان ، فاجد احداثيي النقطة B
B(8,-2)
9) اذا كان ، فاجد احداثيي النقطة C
C(3,7)
10) اذا كان ، فاجد احداثيي النقطة D
D(12,3)
11) شاحنات: اكتب بالصورة الاحداثية السرعة المتجهة لشاحنة تسير على طريق منحدر، علما بان سرعتها الافقية vx=58km/h، وسرعتهها الراسية vy=37km/h.
(58,37)
12) يدفع صالح مكنسة كهربائية بقوة مقدارها 272N،وبزاوية قياسها مع المحور الافقي. اكتب متجه القوة بالصورة الاحداثية
(171.18 , 211.38)
13)اذا كان ، حيث A(-1,4) هي نقطة بدايته، والنقطة B(x,2) هي نقطة نهايته، فاجد قيمة x،مبررا اجابتي
