مراجعة الدرس
السؤال الأول :
الفكرة الرئيسة: أفسر سبب تسمية الألكانات مركبات هيدروكربونية مشبعة.
الحل:
لأن جميع الروابط بين ذرات الكربون هي روابط أحادية.
السؤال الثاني :
أوضح المقصود بكل من: المركبات الهيدروكربونية ، التصاوغ.
الحل:
المركبات الهيدروكربونية: هي المواد التي تتكون من كربون وهيدروجين فقط.
التصاوغ: وجود أكثر من صيغة بنائية للصيغة الجزيئية نفسها.
السؤال الثالث :
أرسم صيغة بنائية للمركب 2، 2-ثنائي ميثيل هكسان.
الحل:

السؤال الرابع:
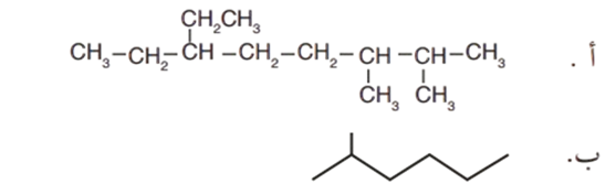
أُسمّي المُركّبات الآتية وفقَ نظام التسمية العالمي IUPAC:

الحل:
أ) 3إيثيل-7،6-ثنائي ميثيل أوكتان.
ب) 2- ميثيل هكسان.
السؤال الخامس:
أرسم المتصاوغات البنائيّة للهبتان ، وأُسمّي كلَا منها.
الحل:

السؤال السادس:
أُكملُ المعادلتين الآتيتين، وأُوازنهما:

الحل:

السؤال السابع :
أفسر: درجة غليان الهبتان C7H16 أعلى من درجة غليان البنتان C5H12 ؟
الحل:
بسبب زيادة الكتلة المولية للهبتان عن البنتان، فتزداد قوى لندن بزيادة الكتلة المولية.