مصفوفة الوحدة، والنظير الضربي للمصفوفة
معلومٌ أنَّ ناتج ضرب أيِّ عدد حقيقي في العدد 1 هو العدد نفسه؛ إذ إنَّ لأيِّ عدد حقيقي x. لذلك يُسمّى العدد 1 عنصرًا مُحايِدًا لعملية ضرب الأعداد الحقيقية.
كذلك توجد مصفوفة مُربَّعة تُسمّى مصفوفة الوحدة، ويُرمَز إليها بالرمز I، ويكون جميع عناصر قُطْرها الرئيس 1، وتكون بقيَّة عناصرها أصفارًا، وتمتاز بخاصية في ضرب المصفوفات تُشبِه خاصية العدد 1 في ضرب الأعداد الحقيقية.

يُمكِن التحقُّق من أنَّ ناتج ضرب المصفوفة I في أيِّ مصفوفة مُربَّعة A، لها نفس رتبة I، هو المصفوفة A نفسها؛ أيْ إنَّ:
مصفوفة الوحدة من الرتبة هي:

مصفوفة الوحدة من الرتبة هي:

المصفوفة المُحايِدة لعملية ضرب المصفوفات
مصفوفة الوحدة I هي المصفوفة المُحايِدة لعملية ضرب المصفوفات، التي إذا ضُرِبت في أيِّ مصفوفة أُخرى من الرتبة نفسها كان ناتج الضرب هو المصفوفة الأُخرى نفسها.
بالرموز: لأيِّ مصفوفة مُربَّعة A، لها رتبة المصفوفة المُحايِدة I نفسها، فإنَّ:
✨ إذا كان A, B مصفوفتين مُربَّعتين من الرتبة نفسها، وكان AB = I ، فإنَّ BA = I
النظير الضربي للمصفوفة المُربَّعة
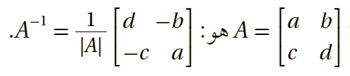
النظير الضربي للمصفوفة المُربَّعة A هو المصفوفة A-1 ، حيث:
✨ A-1 هو رمز للنظير الضربي للمصفوفة A، وليس
إيجاد النظير الضربي لمصفوفة غير مُنفرِدة من الرتبة
إذا كانت مُحدِّدة المصفوفة تساوي صفرًا، فلا نظيرَ ضربيًّا لها، وتُسمّى عندئذٍ مصفوفة مُنفرِدة. أمّا المصفوفة التي مُحدِّدتها لا تساوي صفرًا، فإنَّ لها نظيرًا ضربيًّا، وتُسمّى عندئذٍ مصفوفة غير مُنفرِدة يُمكِن إيجاد النظير الضربي لمصفوفة غير مُنفرِدة من الرتبة 2 × 2 ، إذا كانت مُحدِّدتها لا تساوي صفرًا كما هو مُبيَّن أدناه.
إذا كانت مُحدِّدة المصفوفة A ذات الرتبة 2 × 2 لا تساوي صفرًا، فإنَّ لها نظيرًا ضربيًّا يُمكِن إيجاده باتِّباع الخطوات الآتية:
1 تبديل موقع كلٍّ من عنصري القُطْر الرئيس.
2 ضرب عنصري القُطْر الآخر في 1- .
3 ضرب المصفوفة الناتجة في مقلوب المُحدِّدة، أو
بالرموز: إذا كان ، فإنَّ النظير الضربي للمصفوفة:

المعادلات المصفوفية
المعادلة المصفوفية: هي معادلة تتضمَّن مصفوفات مجهولة (أو تكون بعض عناصرها مجهولة)، ومصفوفات معلومة، إضافةً إلى عمليات على تلك المصفوفات.
أمّا طريقة حلِّ المعادلة المصفوفية: AX = B فتُشبِه طريقة حلِّ المعادلة: ax = b ، حيث a, b, x أعداد حقيقية كما هو مُبيَّن أدناه.

لحلِّ نظام من معادلتين خطِّيتين بمُتغيِّرين، أُحوِّلهما أوَّلًًا إلى معادلة مصفوفية صورتها: AX = B ، حيث A مصفوفة معامات المُتغيِّرين، و X مصفوفة المُتغيِّرات في المعادلتين الخطِّيتين، و B مصفوفة الثوابت، فيكون حلُّ هذا النظام هو: X = A-1 B ؛ شرط أنْ تكون المصفوفة A غير مُنفرِدة.